- Single wall heat shrink tube without adhesive
- 【Brief 】:
Single wall heat shrink tube without adhesive A-2(TW) is ultra thin-wall, irradiated cross-linking, flexible, flame-retardant, heat-shrinkable modified polyolefin tubing.
It is designed for applications that require an ultra thin wall for rapid shrinking and space saving.
Low shrink temperature further reduces installation time and the risk of damage to temperature-sensitive components.
- 【Series】:Silicone Rubber Cold Shrink Tube
- Product description
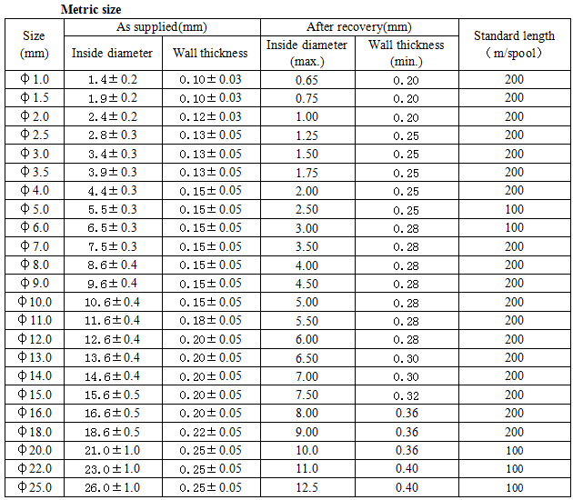
Shrink ratio: 2:1
Low shrink temperature.
Ultra thin-wall, rapid shrinking.
Very flexible, flame-retardant.
Conform to European RoHS environmental directive.
Wide range of sizes and colors.
Operating Temperature Range
Operating temperature range: -55℃~125℃
Minimum shrink temperature: 60℃
Minimum full recovery temperature: 100℃
Standards/Approvals
UL224, 125℃ VW-1
UL Approval














